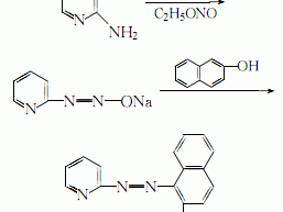
1-(2-pyridinylazo)-2-naphthol 1-(2-pyridinylazo)-2-naohthalenol
structural formula business number 01wb molecular formula c15h11n3o molecular weight 249.27 label α-pyridylazo-β-naphthol;, α-pyridylazo-β-napnthol, pan, o-pan, metal indicator numbering system physic…

