Hydroxypropyl methylcellulose

mt02863 hydroxypropyl methylcellulose 9004-65-3

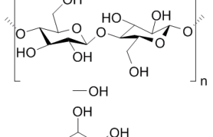
english name: hypromellose common aliases: hydroxypropyl methylcellulose;hydroxypropyl methylcellulose;hydroxymethylpropylcellulose;hypromellose;hydroxypropylmethylcellulose;hydroxypropylmethyl cellul…

Contact Us

Contact us

+86 - 152 2121 6908

Online consultation: QQ交谈

E-mail: sales@newtopchem.com

Working hours: Monday to Friday, 9:00-17:30, closed on holidays
Follow wechat
Scan wechat and follow us

Scan wechat and follow us

Follow Weibo
Back to top
Home
E-mail
Products
Search