
structural formula
| business number | 02f4 |
|---|---|
| molecular formula | c7h6o3 |
| molecular weight | 138.12 |
| label |
resorpic acid, m-hydroxybenzoic acid, 3-hydroxybenzoic acid, 3-hydroxy-benzoic acid, m-salicylic acid, 3-carboxyphenol, acidic solvent |
numbering system
cas number:99-06-9
mdl number:mfcd00002506
einecs number:202-726-5
rtecs number:dh1924980
brn number:508160
pubchem number:24878874
physical property data
1. character: white crystal
2. density (g/ml, 25℃): 1.485
3. relative vapor density (g/ml, air=1) : undetermined
4. melting point (ºc): 201.3~205
5. boiling point (ºc, normal pressure): 346.1
6. boiling point (ºc ,30mmhg): not determined
7. refractive index: not determined
8. flash point (ºc): 220
9. specific rotation (º ): undetermined
10. autoignition point or ignition temperature (ºc): undetermined
11. vapor pressure (mmhg, 20ºc): undetermined
12. saturated vapor pressure (kpa, ºc): undetermined
13. heat of combustion (kj/mol): undetermined
14. critical temperature (ºc): undetermined
15. critical pressure (kpa): undetermined
16. log value of oil-water (octanol/water) partition coefficient: undetermined
17. explosion upper limit (%, v/v): undetermined
18. explosion lower limit (%, v/v): undetermined
19. solubility: slightly soluble in water and benzene, soluble in ethanol and ether. slightly soluble in cold water.
toxicological data
1. acute toxicity: rat peritoneal cavity ld50: 3700mg/kg; mouse oral lc50: 2mg/kg; 2. reproductive toxicity: rat subcutaneous tdlo at 11 days of conception: 400 mg/kgsex/duration;
ecological data
this substance is harmful to the environment and can cause pollution to water bodies and the atmosphere. organic acids can easily form acid rain during atmospheric chemistry and atmospheric physical changes. therefore, when the ph value drops below 5, it will cause serious harm to animals and plants, and the reproduction and development of fish will be seriously affected. metals in the soil and water sediments in the watershed can be dissolved into the water and poison the fish. acidification of water bodies will also lead to changes in the composition and structure of aquatic organisms. acid-resistant algae and fungi will increase, while root plants, bacteria and vertebrates will decrease, and the decomposition rate of organic matter will decrease. acidification will seriously lead to��fish species in lakes and rivers decrease or die.
molecular structure data
1. molar refractive index: 35.061
2. molar volume (cm3/mol): 100.3
3. isotonic specific volume (90.2k ): 284.4
4. surface tension (dyne/cm): 64.4
5. dielectric constant:
6. dipole moment (10-24cm3):
7. polarizability: 13.90
compute chemical data
1. hydrophobic parameter calculation reference value (xlogp): 1.5
2. number of hydrogen bond donors: 2
3. number of hydrogen bond acceptors: 3
4. number of rotatable chemical bonds: 1
5. number of tautomers: 3
6. topological molecular polar surface area (tpsa): 57.5
p>
7. number of heavy atoms: 10
8. surface charge: 0
9. complexity: 133
10. number of isotope atoms : 0
11. determine the number of atomic stereocenters: 0
12. uncertain number of atomic stereocenters: 0
13. determine the chemical bond configuration number of centers: 0
14. number of uncertain chemical bond stereocenters: 0
15. number of covalent bond units: 1
properties and stability
1. avoid contact with strong oxidants and strong alkali.
2. exist in flue-cured tobacco leaves and smoke.
storage method
1. store in a cool, ventilated warehouse. keep away from fire and heat sources. 2. they should be stored separately from oxidants and alkalis, and avoid mixed storage. 3. equip with corresponding varieties and quantities of fire-fighting equipment. suitable materials should be available in the storage area to contain spills.
synthesis method
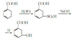
1. in the past, its preparation method used benzoic acid as raw material, sulfonation with sulfuric acid, further alkali fusion, and then acidification to obtain the finished product. this method of sulfonation and alkali melting has strong corrosiveness, high temperature, and poor operating environment. this process is no longer used. instead, m-cresol is used as the raw material, and the carboxyl group is first protected with acetic anhydride or acetyl chloride to become acetate, and then further air oxidation is carried out in the presence of a catalyst to generate the corresponding carboxylic acid, which is then hydrolyzed to obtain the finished product. the reaction formula is as follows:

2.benzoic acid sulfonation alkali fusion method.
3.heat the dilute sulfuric acid to 160℃, slowly pour in the meta-aminobenzoic acid diazo liquid, and heat after adding boil until there are no bubbles. cool and filter to obtain crude product. the finished product is obtained by recrystallizing with water.

4. tobacco :fc,54.
purpose
1. used as fungicides, preservatives, plasticizers and pharmaceutical intermediates. it can also be used in the synthesis of azo dyes.

微信扫一扫打赏
